静态3D资产缺乏动力学信息,而真实物理标签又过于昂贵——物理仿真如何实现规模扩展?
何恺明团队的最新论文GeoPT提出了一种新的解决方案。
GeoPT创新性地引入了合成动力学(Synthetic Dynamics),将静态几何数据提升到动态空间中,使模型能够从无标签数据中学习粒子轨迹变化,并理解物理现象的本质。

在相同精度条件下,GeoPT可以显著减少60%的物理仿真所需的数据量。
我们现在来看看具体是如何操作的。
将静态几何“提升”到动态空间内
物理系统的解场通常由定义边界条件的几何形状G和决定系统行为的动力学条件S共同构成。例如,在空气动力学中,汽车的外形决定了其周围的流体域,而风速和方向则影响了具体的压力分布。
当前的研究趋势是从传统的物理仿真转向基于数据驱动的神经网络模拟器,但这个转变遇到了两个主要障碍:
第一,训练这些模拟器需要大量的标记数据,通过传统数值求解器(如CFD/FEA)生成这些数据会耗费大量计算资源。
其次,现有的预训练方法仅对静态几何结构进行无监督学习,忽略了关键的动力学维度,导致模型在后续任务中的性能下降。
针对此问题,何恺明团队提出了一种新颖的预训练范式——动力学提升的几何预训练(Dynamics-lifted Geometric Pre-training)。
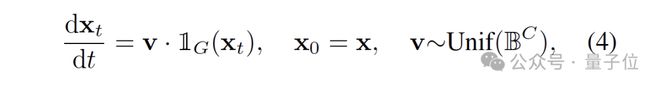
其核心在于通过合成动力学参数化“动力学”概念,在预训练阶段为模型引入随机速度场v,使其从单纯的几何特征学习扩展到同时考虑几何和运动状态的学习过程。
一方面是标注成本极高
该方法不依赖于物理系统生成的昂贵标签数据,而是利用随机采样的方式构建合成速度(Synthetic Velocities),并以此作为监督信号引导训练进程。
在此基础上,模型能够追踪在这些合成动力学作用下的几何特征变化路径,并从中学习到通用的空间约束和耦合规律。
此外,这种提升框架还为下游任务提供了一个统一的接口,在预训练阶段以及微调过程中,模型都可以接受几何数据和速度场作为输入。
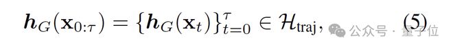
在预训练环节,通过预测合成动力学下的轨迹特征序列来优化损失函数。这一步骤涉及从大规模无标签3D几何集合中采样几何形状、追踪点位置及随机速度分布,并计算出一系列确定性的路径信息。

到达微调阶段时,只需要调整模型的输入速度场至特定仿真任务的相关设置即可进行针对性训练。
实验显示,在预训练过程中使用了包含汽车、飞机和船舶等类别的ShapeNet-V1数据集,生成了超过一百万个样本(约5TB数据)用于培训。
涉及的任务包括流体力学的汽车空气动力学仿真、飞机受力分析以及船舶水动力学模拟;固体力学方面的汽车碰撞应力测试和辐射度计算等场景。

实验结果表明,GeoPT显著减少了对标注数据的需求,在相同精度下节省了20-60%的物理仿真数据量。同时,在微调阶段,模型的收敛速度比从头开始训练快两倍。

此外,随着模型层数增加和预训练样本数量的增长,GeoPT在性能上持续提升,显示出构建“大尺度物理模型”的潜力。
总结来看,通过使用合成动力学轨迹进行预训练,可以有效解决静态几何与复杂动态任务之间的差距问题。
GeoPT为创建通用的物理仿真基础模型提供了一条可扩展路径:大规模无标签几何数据+简单的自监督学习=强大的跨领域应用能力
这篇论文的第一作者是来自MIT(CSAIL)的博士后研究员吴海旭,他现师从Wojciech Matusik教授。

训练流程
吴海旭在清华大学获得了博士学位和学士学位,指导老师为龙明盛教授。而龙明盛教授目前担任清华大学软件学院副教授,并参与了本文的研究工作。

共同第一作者Minghao Guo同样是MIT(CSAIL)的博士生,在Wojciech Matusik教授指导下开展研究,本科毕业于清华大学,硕士研究生阶段则在中文大学完成学业。
- 论文其他贡献者还包括Zongyi Li、MIT的学生Zhiyang (Frank) Dou及何恺明与Wojciech Matusik两位教授。
- 追踪点x:从物体周围的体积空间和几何边界上采样初始位置。
- 速度v:从有界球体中为每个点均匀采样随机速度。
给定上述 (G, V) 信息后,轨迹通过公式确定性计算得出,其监督目标即为沿此路径的几何特征序列。
由于预训练使GeoPT捕捉到了以速度为条件的物理对齐相关性,在微调阶段,只需将预训练时的随机速度替换为编码了特定仿真设置的任务特定速度。
具体的适配策略如下:
- 空气动力学:将入射流条件(速度、攻角等)编码为Vs,其方向与流向一致。
- 水动力学:分别为水、气两相配置不同的Vs,反映船舶阻力仿真中的两相流。
- 碰撞仿真:将冲击方向编码为Vs,其大小从碰撞点开始随空间衰减,以反映力的传播。
这种统一接口的设计,使得单个预训练模型只需通过重配置速度输入,即可适配多样化的物理仿真任务。
在具体的细节方面,研究采用Transolver作为骨干网络,并配置了从3M到15M参数的三种模型尺寸。
在数据效率方面,轨迹被离散化为 3 个步骤,使用向量距离(Vector Distance)编码几何信息。每个几何体采样约3.6万个点,并生成100个随机动力学场。
在计算优势上,监督信号通过优化的射线-三角形求交算法计算。处理一个样本仅需约0.2秒,比工业级 CFD 仿真快10^7倍。在80核CPU上,仅需3天即可生成5TB的预训练数据集。
目前,该框架已开源,感兴趣的同学可以参考文末链接。
实验验证
在预训练中,研究使用ShapeNet-V1数据集,包含汽车、飞机、船舶等三类工业相关几何,通过采样生成了超过100万个样本(约5TB数据) 。
任务覆盖流体力学: 汽车空气动力学 (DrivAerML)、飞机受力分析 (NASA-CRM)、船舶水动力学 (DTCHull) ;固体力学: 汽车碰撞最大应力仿真 (Car-Crash) 以及 辐射度仿真 (Radiosity) 等 。
实验结果表明,GeoPT显著降低了对标注数据的依赖,在达到相同精度时可节省20-60%的物理仿真数据。
与此同时,GeoPT还使微调阶段的收敛速度比从头训练快2倍

而且,随着模型层数增加(从8层增加到32层)和预训练数据量的增大,性能持续稳步提升,展现了“物理大模型”的潜力 。

总的来说,论文证明了通过“合成动力学轨迹”进行预训练,可以有效弥合静态几何与复杂动态物理任务之间的鸿沟 。
GeoPT 为构建通用的物理仿真基础模型开辟了一条可扩展的路径,即:
大规模无标签几何+简单的合成动力学自监督=强大的跨领域物理仿真能力
论文作者
这篇论文的第一作者是来自MIT(CSAIL)的博士后研究员吴海旭

他目前师从Wojciech Matusik教授。此前,吴海旭在清华大学获得博士和学士学位,导师为龙明盛教授。

值得一提的是,龙明盛教授现为清华大学软件学院副教授,也是本文作者之一。

论文的共同第一作者是Minghao Guo,他目前为MIT(CSAIL)博士生,同样师从Wojciech Matusik教授。
他本科就读于清华大学,硕士毕业于香港中文大学。

此外,论文的其他作者还包括Zongyi Li(何恺明教授的博士后)、MIT博士生Zhiyang (Frank) Dou,以及何恺明教授和Wojciech Matusik教授。
[1]https://arxiv.org/abs/2602.20399v1
[2]https://github.com/Physics-Scaling/GeoPT
